Skip to main content
Home
  • Healthcare
    • Specialties
      • Cardiovascular Care
      • Oncology
      • Neurosurgery
      • Primary Care
      • View All Specialties >
    • For Health Professionals
      • Refer a Patient
      • Clinical Trials
      • Professional Development
      • View All >
    • For Patients & Visitors
      • MyChart Login
      • Accepted Insurance
      • Pay My Bill
      • Patient Information
      • View All >
    • Clinical Trials
      • Autism
      • Cancer
      • Obesity
      • Substance Abuse
      • View All Clinical Trials >
    • Find a Doctor
    • Make an Appointment

    General Inquiries

    Call today to schedule an appointment or fill out an online request form. If requested before 2 p.m. you will receive a response today.

    CALL

    713-798-1000

    Monday – Friday 8 a.m. – 5 p.m.


    ONLINE

    Request Now

    Request non-urgent appointments

    Request an appointment, learn about your rights as a patient, read about what to expect from your appointment, and more.

    As Houston's premier academic medical practice, Baylor Medicine delivers compassionate, innovative, evidence-based care.
    Find a Doctor

  • Education
    • Degree Programs & Admissions
      • M.D. Program
      • Ph.D. Programs
      • DNP Program (Nurse Anesthesia)
      • Genetic Counseling Program
      • P.A. Program
      • Orthotics & Prosthetics Program
      • Baccalaureate/M.D. Programs
      • Dual Degree Programs
      • View All Programs >
    • Financing Your Education
      • Tuition & Fees
      • Financial Aid
      • CARES ACT
    • Schools
      • School of Medicine
      • Graduate School of Biomedical Sciences
      • National School of Tropical Medicine
      • School of Health Professions
    • Advanced Training Programs
      • Residency Programs
      • Clinical Fellowships
      • Postdoctoral Research Positions
      • Continuing Professional Development
      • Diploma in Tropical Medicine
      • View All >
    • Resources
      • Departments
      • Academic Centers
      • Academic Calendars
      • Education Cores
      • View All >
    • Information For...
      • Students
      • Postdoctoral Researchers
      • Faculty
      • Alumni
    get-to-know-houston

    America's fourth-largest city is a great place to live, work, and play. Find out why.
    Get to Know Houston

  • Research
    • Research Offices
      • Advanced Technology Cores
      • Clinical Research
      • Institute for Clinical & Translational Research
      • Office of Research Leadership
      • Research IT
      • Sponsored Programs
    • Research at Baylor
      • Academic Centers
      • Departments
      • Faculty Labs
      • From the Labs
      • News
      • Our Research
      • Research Centers
      • Strategic Research Center
    • Additional Research Services
      • BCM Innovation Institute
      • Service Labs
      • VIICTR
    get-to-know-houston

    America's fourth-largest city is a great place to live, work, and play. Find out why.
    Get to Know Houston

  • Community
    • Healthcare Outreach
      • Community Programs
      • More >
    • Global Outreach
      • Global Health
      • Global Programs >
    • Educational Outreach
      • SMART Program
      • BioEd Online
      • More >
    • General Resources
      • Community Events
      • News
      • Blogs
      • Baylor in the Community
    get-to-know-houston

    America's fourth-largest city is a great place to live, work, and play. Find out why.
    Get to Know Houston

  • About
    • About Us
      • Academic Centers
      • Alumni
      • Careers
      • Departments
      • Giving
      • Leadership
      • Mission, Vision, Values
      • News
      • Our Affiliates
      • Fast Facts
      • Accreditation
    • Offices
      • President's Office
      • Office of Research
      • Ombuds Office
      • BCM Innovation Institute
      • View All >
    • Our Campus
      • Compliance
      • Safety and Security
      • Resource Stewardship & Sustainability
      • Team Shop
      • Find a Person
    get-to-know-houston

    America's fourth-largest city is a great place to live, work, and play. Find out why.
    Get to Know Houston

  • GIVE
  • CAREERS
  • INTRANET
  • Careers
  • Contact Us
  • News
Education
  • Schools
  • Education Programs
  • Academic & Faculty Affairs
  • Tuition & Fees
  • Financial Aid
  • Registrar
  • Academic Resources
  • Office of Accreditation and Education Effectiveness
  • Education Contacts
  • News
  • School of Medicine
  • Graduate School of Biomedical Sciences
  • School of Health Professions
  • National School of Tropical Medicine
  • Cores
  • Schools
  • Education Programs
  • Academic & Faculty Affairs
  • Tuition & Fees
  • Financial Aid
  • Registrar
  • Academic Resources
  • Office of Accreditation and Education Effectiveness
  • Education Contacts
  • News
  • School of Medicine
  • Graduate School of Biomedical Sciences
  • School of Health Professions
  • National School of Tropical Medicine
  • Cores
  1. Baylor College of Medicine
  2. Education
  3. Academic & Faculty Affairs
  4. Faculty Resources
  5. Faculty Ed-Tech
  6. Learning Management Systems
  7. Blackboard
  8. Blackboard Ultra Course View
  9. Tests and Assignments
  10. Item Analysis
  • Accessibility at BCM
  • Teaching and E-Learning Resources
  • Clinical Learning Applications
    • Aquifer
    • Osmosis
    • UpToDate
  • Digital Course Materials
  • Equipment Lending and Rental
  • Exams and Proctoring
    • ExamSoft/Examplify
      • Creating & Posting Exams
      • Creating Questions
      • Disable Operating System Auto-Update
      • Exam Stats & Analysis
      • ExamID & ExamMonitor
      • Releasing Results to Students
      • Reviewing Results
      • Scoring Exams
      • Using iPads with Examplify
    • Respondus
    • SafeAssign
  • Learning Management Systems
    • LMS Troubleshooting Solutions
      • Clearing your web browser's cache
    • Blackboard
      • Blackboard Original Course View
      • Blackboard Ultra Course View
        • Artificial Intelligence (AI) Design Assistant
        • Attendance Tracking
        • Automations
        • Beginning of Semester
        • Blackboard Ally
        • Blackboard Essentials
        • Blackboard Guidelines
        • Blackboard Mobile App
        • Communication
        • Course Content
        • Course Set Up
        • Course Size Limits
        • Discussion Boards
        • Edpuzzle
        • Forms (Formerly Bb Surveys)
        • Gradebook
        • Journals
        • LTI Tool Integration Requests
        • Organizations
        • Portfolios
        • Tests and Assignments
        • Track Student Performance
        • Users and Groups
        • Video Studio
        • Learning Object Repository
    • Comprehensive Academic Management System (CAMS)
    • Leo (DaVinci)
    • MedHub
    • SuccessFactors
    • SimulationiQ
  • Learning Spaces
    • AirMedia
    • Audio Visual Room System Design Services
      • All-in-One Huddle Room
      • Small Conference Room
      • Large Conference Room
  • Lecture Capture
  • Media Steaming
    • vBrick
  • Multimedia Creation Software
    • Adobe Creative Cloud
    • PowerPoint
    • VoiceThread
    • Articulate 360
    • O365
  • Multimedia Services
    • Professional Video Production Services
  • Online Storage
    • Box (for Education)
    • OneDrive
    • SharePoint
  • Polling and Surveys
    • Microsoft Forms
    • Poll Everywhere
    • Qualtrics
    • SmartSheets
    • Survey Monkey
  • Room Reservations
  • Virtual Classrooms
  • Virtual Collaboration
    • Microsoft Teams
  • Other Ed-Tech Apps
  • Ed-Tech News
    • BCM’s Wi-Fi & Auditorium Wired Connection Guide: Initial Connection & Basic Troubleshooting
    • Important ExamSoft: Mandatory Examplify Update - Available Soon (April 15, 2025)
    • Important: ExamSoft and New OS Compatibility
    • MFA is coming to Blackboard
    • New ExamSoft Question Types
    • Poll Everywhere Mac Presenter 4.0.0 is now available
    • SSO is coming to DaVinci Leo
    • SSO is coming to Poll Everywhere
    • SSO is coming to Up-to-Date
    • Transition from Zoom to Microsoft Teams
    • Transitioning to Blackboard Learn Ultra Courses
      • Blackboard Ultra Resources
    • Upcoming Examplify MSR Changes
    • Update: Poll Everywhere Best Practices
    • UptoDate News
    • Voice Thread Visual Redesign 2024
    • Poll Everywhere Visual Redesign 2023

Blackboard Item Analysis

Question analysis provides statistics on overall performance, assessment quality, and individual questions. This data helps you recognize questions that might be poor discriminators of student performance. Question analysis is for assessments with questions. You can run a report before all submissions are in if you want to check the quality of your questions and make changes.

Uses for question analysis:

  • Improve questions for future assessments or to adjust credit on current attempts
  • Discuss assessment results with your class
  • Provide a basis for remedial work
  • Improve classroom instruction

Example:

After the question analysis, you notice that the majority of students answer one question incorrectly. Why the low success rate?

  • Is the wording of the question confusing?
  • Are the answer options unclear?
  • Were students given the right content to learn to successfully answer this question?
  • Was the content to learn easily accessible and clear?

Based on what you discover, you can improve the question to truly assess what students know or don't know.

For complete instructions on Question Analysis visit the Blackboard Help Center.  Watch a video on Downloading Question Results.

You can run and access a previous question analysis report from these course areas:

  • Course Content page > assessment's menu
  • Course Analytics page > Question Analysis tab—if your institution has enabled analytics
  • Gradebook

On the Course Content page, access an assessment's menu and select Question Analysis. You can also select the Analytics icon on the navigation bar. [view screenshot]

You can also run a question analysis report from the gradebook. Access an assessment's menu and select Question Analysis. [view screenshot]

The Question Analysis page is only accessible from the navigation bar > Analytics > Course Analytics page > Question Analysis tab. [view screenshot]

You can run a report on an assessment with submissions and no questions, but you'll receive a report with no usable information.

You'll receive a message that the question analysis report is in process and an email when the report is complete. You can leave the page to work in other areas of your course and return later to see if the report is ready. [view screenshot]

Status column

Each assessment in your course appears with one of these statuses:

  • Report in progress
  • Completed on {date}
  • Data no longer up to date: Assessment now has more submissions to analyze.
  • Not enough data: No submissions exist. Run Report is disabled.
  • No questions in the assessment: Assessment has no questions or submissions. Run Report is disabled.
  • No status listed: Assessment has questions and submissions, but you've run no report. Run Report is enabled.
  • Error: Run

After you run a report, you can view overall summary information and details about each question. Select the assessment on the Question Analysis page to view the summary.

Only submitted attempts are used in calculations. When attempts are in progress, those attempts are ignored until they're submitted and you run the analysis report again. Automatic zeros assigned for late work aren't included in calculations. [view screenshot]

  1. Summary of statistics for the individual assessment:
    1. Average score: The score shown is the average score reported for the assessment in the gradebook. The average score can change if more attempts are submitted and graded.
    2. Possible questions: The total number of questions in the assessment.
    3. Completed attempts: The number of submitted assessments.
    4. Average time spent: The average completion time for all submitted attempts.
  2. Rerun a report or edit the assessment to make a change to questions.
  3. Use the graphs to filter the table of questions. Make selections in both graphs to refine your search. If you make no selections, all the questions appear in the table at the bottom of the page.
    1. Discrimination: Indicates how well questions differentiate between students who know the subject matter and those who don’t.
      1. Shows the number of questions that fall into these categories:
        1. Good (greater than 0.3)
        2. Fair (between 0.1 and 0.3)
        3. Poor (less than 0.1) categories
        4. Can't calculate: A question's difficulty is 100% or all students received the same score on a question.
      2. Questions with discrimination values in the Good and Fair categories differentiate between students with higher and lower levels of knowledge.
      3. Questions in the Poor category are recommended for review.
    2. Difficulty: Percentage of students who answered the questions correctly
      1. Shows the number of questions that fall into these categories:
        1. Easy (greater than 80%)
        2. Medium (between 30% and 80%)
        3. Hard (less than 30%)
      2. Questions in the Easy or Hard categories are recommended for review.
  4. Select a heading to sort the questions. For example, sort the Review column so questions that need review appear first.
  5. Clear Filters: Clear the filters you selected in the graphs and display all questions in the table
  6. Download the question analysis report

Note: The question statistics table provides item analysis statistics for each question in the test. Questions that are recommended for your review are indicated with red circles so that you can quickly scan for questions that might need revision.

The questions table provides analysis statistics for each question in the assessment. After you use the graphs to filter the questions table, you can view and sort the results.

In general, good questions fall in these categories:

  • Medium (30% to 80%) difficulty
  • Good or Fair (greater than 0.1) discrimination values

In general, questions recommended for review fall in these categories. They may be of low quality or scored incorrectly.

  • Easy ( > 80%) or Hard ( < 30%) difficulty
  • Poor ( < 0.1) discrimination values

Reminder: If you make no selections, all the questions appear in the table at the bottom of the page. [view screenshot]

To investigate a specific question, select the title and review the question details.

Information for each question appears in the table:

  • Needs review: Triggered when discrimination values are less than 0.1. Also, when difficulty values are either greater than 80% (the question was too easy) or less than 30% (the question was too hard). Review the question to determine if it needs revision.
  • Question Modified: Displays Yes if you run a report, then change part of a question, and rerun the report. Yes also appears if you copied the question from another assessment when you created the assessment.

If Yes appears in the Question Modified column for a question, the Yes doesn't carry over when you archive and restore the course.

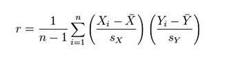
  • Discrimination: Indicates how well a question differentiates between students who know the subject matter and those who don't. A question is a good discriminator when students who answer the question correctly also do well on the assessment. Values can range from -1.0 to +1.0. A question is flagged for review if its discrimination value is less than 0.1 or negative. Discrimination values can't be calculated when the question's difficulty score is 100% or when all students receive the same score on a question.
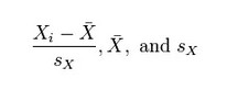
    • Discrimination values are calculated with the Pearson correlation coefficient. X represents the scores of each student on a question and Y represents the scores of each student on the assessment. [view screenshot]
    • These variables are the standard score, sample mean, and sample standard deviation, respectively: [view screenshot]
  • Difficulty: The percentage of students who answered the question correctly. The difficulty percentage is listed along with its category: Easy (greater than 80%), Medium (30% to 80%), and Hard (less than 30%). Difficulty values can range from 0% to 100%. A high percentage indicates the question was easy. Questions in the easy or hard categories are flagged for review.
    • Difficulty levels that are slightly higher than midway between chance and perfect scores do a better job differentiating students who know the tested material from those who don't. High difficulty values don't assure high levels of discrimination.
  • Graded Attempts: Number of question attempts where grading is complete. Higher numbers of graded attempt produce more reliable calculated statistics.
  • Average Score: The score that appears is the average score reported for the assessment in the gradebook. The average score might change after all attempts are graded.

You can investigate questions flagged for your review and view student performance. From the Question Analysis questions table, select a linked question title to access the question's summary. [view screenshot]

  1. After you access a question, use the question title's menu to access any question in the assessment. You can navigate to other questions sequentially on either side of the page.
  2. The summary table displays statistics for the question.
  3. Select Edit Assessment to access the assessment and make changes.
  4. The question text and answer choices appear. You can see how many students chose each answer choice or the percentage answered correctly. For example, for a Matching question, you see what percentage of students matched the pairs correctly. Only the question text appears for Essay questions.

About multiple attempts, question overrides, and question edits

The analysis handles some common scenarios in these ways:

  • When students take an assessment multiple times, the last submitted attempt is used as the input for the analysis. As soon as a student submits another attempt, subsequent analyses will include that newest attempt.
  • Gradebook overrides don't impact the analysis data because the analysis generates statistical data for questions based on completed student attempts.
  • When you make changes to a question or manually grade questions, you must run the analysis again to see if the changes affect the data.

Examples

Question analysis can help you improve questions for future assessment administrations. You can also fix misleading or ambiguous questions in a current assessment.

  • In a Multiple Choice question, an equal number of students chose A, B, and C. Examine the answer choices to determine if they're ambiguous, if the question is too difficult, or if the material wasn't covered.
  • A question is recommended for review because it falls into the hard difficulty category. You determine the question is hard, but you keep it to adequately evaluate your course objectives.
  • A Multiple Choice question is flagged for your review. More Top 25% students chose answer B, but A is the correct answer. You realize you didn't choose the correct answer when you created the question. You edit the assessment question and it's automatically regraded.

You may need to download test results for external analysis and evaluation. External analysis is important for supporting course quality and assessment efforts. Besides, institutions often want compiled assessment data for accreditation and program review activities.

You can download assessment results from the gradebook:

  • From the Grades view, select the assessment to display the options menu and choose Download results. [view screenshot]
  • From the Gradable items view, select the options menu of the assessment and choose and choose Download results. [view screenshot]

You'll find several options when downloading results. [view screenshot]

  • File type: Excel spreadsheet (.xls) or Comma Separated Value (.csv). The default is .xls.
  • Format of results: By student or by question and student. The default is by student.
  • Attempts to download: Either all attempts or only attempts included in the grade calculation. You can define which attempts to include in the grade calculation in the Grade attempts settings. The default is to download only attempts used for calculation.

The downloaded report includes the following information:

  • Student name
  • Username
  • Questions
  • Answers
  • Grading status
  • Any content the student may have included with their submission

Sample for the result format Download by student: [view screenshot]

Sample for the result format Download by student and question: [view screenshot]

NOTE: If you use anonymous grading, the downloaded results exclude student and score details until the grades are posted for all students.

Ed-Tech
  • Accessibility at BCM
  • Teaching and E-Learning Resources
  • Clinical Learning Applications
    • Aquifer
    • Osmosis
    • UpToDate
  • Digital Course Materials
  • Equipment Lending and Rental
  • Exams and Proctoring
    • ExamSoft/Examplify
      • Creating & Posting Exams
      • Creating Questions
      • Disable Operating System Auto-Update
      • Exam Stats & Analysis
      • ExamID & ExamMonitor
      • Releasing Results to Students
      • Reviewing Results
      • Scoring Exams
      • Using iPads with Examplify
    • Respondus
    • SafeAssign
  • Learning Management Systems
    • LMS Troubleshooting Solutions
      • Clearing your web browser's cache
    • Blackboard
      • Blackboard Original Course View
      • Blackboard Ultra Course View
        • Artificial Intelligence (AI) Design Assistant
        • Attendance Tracking
        • Automations
        • Beginning of Semester
        • Blackboard Ally
        • Blackboard Essentials
        • Blackboard Guidelines
        • Blackboard Mobile App
        • Communication
        • Course Content
        • Course Set Up
        • Course Size Limits
        • Discussion Boards
        • Edpuzzle
        • Forms (Formerly Bb Surveys)
        • Gradebook
        • Journals
        • LTI Tool Integration Requests
        • Organizations
        • Portfolios
        • Tests and Assignments
        • Track Student Performance
        • Users and Groups
        • Video Studio
        • Learning Object Repository
    • Comprehensive Academic Management System (CAMS)
    • Leo (DaVinci)
    • MedHub
    • SuccessFactors
    • SimulationiQ
  • Learning Spaces
    • AirMedia
    • Audio Visual Room System Design Services
      • All-in-One Huddle Room
      • Small Conference Room
      • Large Conference Room
  • Lecture Capture
  • Media Steaming
    • vBrick
  • Multimedia Creation Software
    • Adobe Creative Cloud
    • PowerPoint
    • VoiceThread
    • Articulate 360
    • O365
  • Multimedia Services
    • Professional Video Production Services
  • Online Storage
    • Box (for Education)
    • OneDrive
    • SharePoint
  • Polling and Surveys
    • Microsoft Forms
    • Poll Everywhere
    • Qualtrics
    • SmartSheets
    • Survey Monkey
  • Room Reservations
  • Virtual Classrooms
  • Virtual Collaboration
    • Microsoft Teams
  • Other Ed-Tech Apps
  • Ed-Tech News
    • BCM’s Wi-Fi & Auditorium Wired Connection Guide: Initial Connection & Basic Troubleshooting
    • Important ExamSoft: Mandatory Examplify Update - Available Soon (April 15, 2025)
    • Important: ExamSoft and New OS Compatibility
    • MFA is coming to Blackboard
    • New ExamSoft Question Types
    • Poll Everywhere Mac Presenter 4.0.0 is now available
    • SSO is coming to DaVinci Leo
    • SSO is coming to Poll Everywhere
    • SSO is coming to Up-to-Date
    • Transition from Zoom to Microsoft Teams
    • Transitioning to Blackboard Learn Ultra Courses
      • Blackboard Ultra Resources
    • Upcoming Examplify MSR Changes
    • Update: Poll Everywhere Best Practices
    • UptoDate News
    • Voice Thread Visual Redesign 2024
    • Poll Everywhere Visual Redesign 2023

Contact Ed-Tech

Email ed-tech@bcm.edu
get-to-know-houston

America's fourth largest city is a great place to live, work and play. Find out why.
Get to Know Houston

Credit
Visit Houston

Follow Us facebook twitter youtube linkedin instagram rss 

Footer Menu Healthcare

  • Healthcare
    • Specialties
    • MyChart Login
    • For Patients & Visitors
    • For Health Professionals
    • Clinical Trials
    • Find a Physician

Footer Menu Education

  • Education
    • Programs & Admissions
    • Student & Trainee Resources
    • Faculty Resources
    • School of Medicine
    • Graduate School of Biomedical Sciences
    • National School of Tropical Medicine
    • School of Health Professions
    • Tuition & Fees
    • Financial Aid

Footer Menu Research

  • Research
    • Our Research
    • Core Labs
    • Faculty Labs
    • Research Centers
    • Research Offices

Footer Menu Community

  • Community
    • Healthcare Outreach
    • Education Outreach
    • Global Programs
    • Community Events

Footer Menu About

  • About
    • Our Campus
    • Departments
    • Academic Centers
    • Administrative Offices
    • Affiliates
    • Leadership
    • Giving
    • Alumni

Footer Menu Resource Links

  • Resource Links
    • Contact Us
    • Find a Person
    • Careers
    • BCM Team Shop
    • News
    • Title IX Office
    • Compliance

©1998-2026 Baylor College of Medicine® | 1 Baylor Plaza, Houston, Texas 77030 | 713-798-4951
Have an edit or suggestion for this page?

  • Compliance
  • Privacy
  • Intranet